Curated public health stories for this week from my reading shelf for Week 6 of 2022.
I.
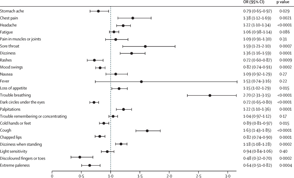
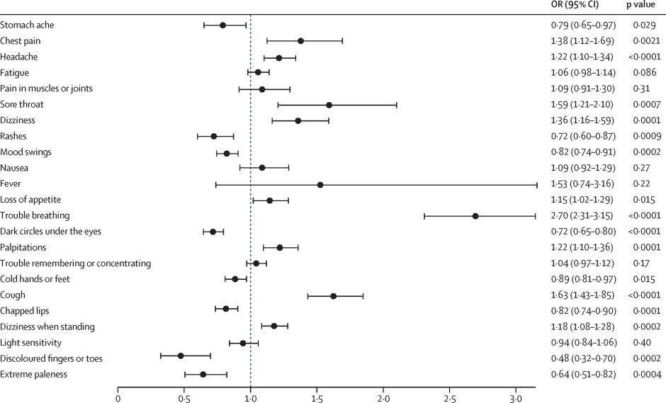
The largest and longest follow up of teens with #LongCovid (N>6,600) and matched controls (>21,000): higher odds of symptoms, more sick days and school absences published in The Lancet

II.
Surprising (and beautiful) SARS-CoV-2’s family tree from NPR

III.
“When the Death Certificate Omits the True Cause of Death” from The Newyork Times
“In order to prevent deaths, we want to know what’s causing them, which influences medical practice and the awarding of research grants,” he said. “If many dementia deaths are hidden, the disease is not getting enough funding.”
Disclaimer: Posts and opinions are my own and do not reflect the views of my employer.